Products

BENZALKONIUM CHLORIDE


We are leading manufacturer and supplier of BENZALKONIUM CHLORIDE in mumbai, india.

Coco Dimethyle Benzyle Ammonium Chloride

CAS No.  8001-54-5 or 63449-41-2, 139-07-1       

Molecular weight:  340.0

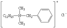
Molecular Formula:  C21H38NCl           

Structural Formula:

 

Properties:

Benzalkonium Chloride is a kind of cationic surfactant, belonging to non-oxidizing biocide. It can efficiently withhold algae propagation and sludge reproduction. Benzalkonium Chloride also has dispersing and penetrating properties, can penetrate and remove sludge and algae, has advantages of low toxicity, no toxicity accumulation, soluble in water, convenient in use, unaffected by water hardness. Benzalkonium Chloride can be also used as anti-mildew agent, antistatic agent, emulsifying agent and amendment agent in woven and dyeing fields.

 

 

Specification:

items

index

Appearance

Colorless to yellowish transparent liquid

Active content %

48-52%

Amine salt  %

2.0 max

pH(1% water solution)

6.0~9.0

Specific gravity @ 25oC

0.95 – 1.05


Usage:

In pharmaceuticals, as antifungal, antibacterial agent.

In the preparation of water treatment chemicals.

As a disinfectant it can be used to clean cuts, scrapes and minor burns.

Benzalkonium chloride is used as an alternative to alcohol in hand sanitizers.

As nonoxidizing boicide, dosage of 50-100mg/L is preferred; as sludge remover, 200-300mg/L is preferred, adequate organosilyl antifoaming agent should be added for this purpose. This product can be used together with other fungicidal such as isothiazolinones, glutaraldegyde, dithionitrile methane for synergism, but cannot be used together with chlorophenols. If sewage is appeared after thrown of this product in circulating cool water, the sewage should be filtered or blown off in time to prevent their deposit in bottom of collecting tank after froth disappearance.

No blending with anion surfactant. 

 

Package and Storage:

25kgs, 50kgs & 200kgs. HMHDPE Drums. Storage for two year in shady room and dry place.

 

Safety Protection:

A little smell of almond, no visible stimulation to skin. When contacted, flush with water.

Synonyms:

Benzalkonium Chloride;BKC;