Products

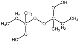
METHYL ETHYL KETONE PEROXIDE


We are leading Mumbai based Manufacturers & Suppliers of METHYL ETHYL KETONE PEROXIDE .

GENERAL NAME                        :     M.E.K.P.

 

PEROXIDE CLASS                      :     Ketone Peroxides  

 

FORM                                                 :      Clear Colourless Liquid 

 

ACTIVE OXYGEN (% BY WEIGHT) :   9%       

 

PEROXIDE CONTENT               :     50%

 

SPECIFIC GRAVITY                 :     1.168

 

SOLUBILITY                                  :      Insoluble in water, soluble in

                                                                 most Organic Solvents .

 

 

APPLICATION   :  

M.E.K.P. is mainly used as room temperature catalyst along with Cobalt Octoate in unsaturated Polyester resin system. It is never mixed with any metal octoate.

 

It is an oxidizing material and must be kept away from reducing materials.

Follow strictly safety data sheet instructions.